Введение
Современное дорожное строительство и возведение высотных зданий предъявляет высокие требования к качеству грунтовых оснований. Одними из ключевых параметров, определяющих несущую способность, долговечность и устойчивость земляного полотна, являются плотность скелета грунта и его влажность. Плотность скелета грунта (отношение массы твердых частиц к объему образца ненарушенной структуры) находится в нелинейной зависимости от влажности. Существует узкий диапазон оптимальной влажности, при котором достигается максимальная плотность скелета, что обеспечивает наилучшие условия для уплотнения и, как следствие, высокую прочность и надежность дорожного покрытия [1, 2]. Отклонение от этого диапазона ведет к снижению качества уплотнения, повышенной усадке и риску деформаций покрытия в процессе эксплуатации.
В связи с этим оперативный и достоверный контроль влажности грунта непосредственно на строительной площадке является критически важной задачей. В действующей нормативной документации РФ (ГОСТ 5180-2015) основным методом определения влажности является термостатно-весовой метод. Он заключается в отборе пробы грунта массой 15–50 г, ее взвешивании, последующем высушивании в сушильном шкафу при температуре 105±2 °С в течение 3 ч и повторном взвешивании [3]. Несмотря на высокую точность, данный метод обладает рядом существенных недостатков, ограничивающих его применение для полевого экспресс-контроля:
– высокая трудоемкость и продолжительность цикла измерения (не менее 3–4 ч);
– необходимость транспортировки образцов в стационарную лабораторию, оснащенную громоздким оборудованием;
– невозможность оперативного принятия технологических решений (например, о необходимости дополнительного увлажнения или подсушки грунта) непосредственно на месте производства работ.
За рубежом для экспресс-оценки качества уплотнения все чаще применяются методы, основанные на анализе деформационных характеристик (легкие динамометрические установки LWD), а также электрофизические методы, такие как рефлектометрия во временной области (TDR) [4, 5]. Однако TDR-метод весьма чувствителен к конструкции зонда, его размещению в грунте и электропроводности почвы, что требует сложной калибровки и может приводить к значительным погрешностям при изменении плотности составного грунта [6, 7].
Анализ известных конструкций портативных влагомеров [8–10] показывает, что их основным недостатком является высокая погрешность измерений, обусловленная использованием стержневых датчиков или сорбционных блоков, погружаемых в грунт. Показания таких устройств существенно зависят от плотности грунта, которая, в свою очередь, варьируется в широких пределах и не поддается оперативному учету. Кроме того, многие из этих устройств не являются полностью автономными и требуют стационарного источника питания или сложного обслуживания.
Таким образом, существует объективная потребность в разработке автоматизированного средства измерения, которое сочетает преимущества лабораторной точности с оперативностью и автономностью полевого прибора. Перспективным направлением в решении этой задачи является применение диэлькометрического метода [11], основанного на корреляционной зависимости диэлектрической проницаемости материала от содержания в нем влаги, по следующим причинам:
– первичный преобразователь (емкостной датчик) имеет простую и надежную конструкцию, легко адаптируемую для полевых условий;
– выходной сигнал (емкость) может быть непосредственно преобразован в цифровую форму с помощью современных микроконтроллерных средств;
– метод обеспечивает высокое быстродействие, позволяя проводить измерения за время от нескольких секунд до минут.
Цель исследования – разработка автоматизированной системы контроля влажности грунта на основе диэлькометрического метода, обеспечивающей автоматическую компенсацию температурной погрешности и вычисление плотности скелета грунта в реальном времени.
Материалы и методы исследования
В основу работы измерительной системы положен диэлькометрический метод, регламентированный ГОСТ 21718-84. Данный метод основан на измерении емкости, у которой диэлектрическая проницаемость материала зависит от содержания в нем влаги [12]. Вода обладает аномально высокой диэлектрической проницаемостью (ε ≈ 80) по сравнению с минеральным скелетом грунта (ε < 10). Первичным измерительным преобразователем служит емкостной датчик, емкость которого линейно связана с диэлектрической проницаемостью грунта.
Разработанное устройство реализует автоматизированный цикл измерения. Проба грунта помещается оператором в измерительную ячейку, микроконтроллерная система последовательно проводит измерения емкости на двух частотах (низкой и высокой), одновременно фиксируя температуру образца [13]. На основе полученных данных и калибровочных коэффициентов, хранящихся в энергонезависимой памяти, в реальном времени вычисляются влажность и плотность скелета грунта, а результаты выводятся на блок индикации. Весь цикл автоматического измерения занимает не более 1–2 мин.
В качестве объекта исследования использовались грунты, типичные для дорожного строительства в средней полосе РФ (супеси, легкие суглинки). Для верификации метода и калибровки устройства проводились лабораторные исследования на образцах грунта. Образцы готовились с заданной влажностью в диапазоне от 0 до 25 % с шагом 5 % методом сухого прессования с последующим увлажнением. Во время измерения поддерживалась постоянная температура образцов 18 и 24 °С, а сами измерения емкости проводились на частотах 100 Гц – 100 кГц с использованием прецизионного RLC-метра. Каждое измерение повторялось не менее трех раз для оценки воспроизводимости. Контрольное значение влажности каждого образца определялось термостатно-весовым методом по ГОСТ 5180-2015 до и после экспериментальной серии.
Полученные экспериментальные данные (зависимости емкости от влажности, частоты и температуры) анализировались для выявления оптимальных условий измерений и разработки алгоритма автоматической компенсации температурной погрешности, который реализован в программном обеспечении микроконтроллера.
Результаты исследования и их обсуждение
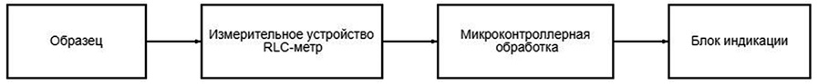
В рамках выполнения работы был разработан и изготовлен лабораторный образец устройства для измерения влажности грунта диэлькометрическим методом, структурная схема которого включает измерительную ячейку с емкостным датчиком, измерительный блок, микроконтроллер и блок индикации и управления (рис. 1).
Разработанный лабораторный стенд предназначен для измерений влажности непосредственно в грунтовом массиве (рис. 2) [14]. Первичный преобразователь выполнен в виде системы заостренных алюминиевых стержней, покрытых двумя слоями эпоксидной смолы для создания диэлектрической изоляции. Центральный стержень является одним электродом, а два крайних, соединенных между собой, – вторым. Такая конструкция позволяет погружать датчик в грунт без нарушения его структуры и проводить измерения на различных глубинах. К электродам припаяны выводы, подключаемые к измерительному устройству (RLC-метр). Цифровой выход RLC-метра соединен с микроконтроллерным модулем, который осуществляет сбор данных, их обработку и вывод на жидкокристаллический дисплей. Блок питания обеспечивает автономную работу от аккумулятора или бортовой сети автомобиля (12 В).

Рис. 1. Блок-схема устройства измерения влажности грунта Примечание: составлен авторами по результатам данного исследования

Рис. 2. Измерительная система для контроля влажности грунта в полевых условиях Примечание: составлен авторами по результатам данного исследования
а) 
б) 
Рис. 3. Зависимости емкости от влажности для различных частот при температуре 24 °С (а) и 18 °С (б) Примечание: составлен авторами по результатам данного исследования
Для оценки работоспособности диэлькометрического метода и выявления влияния дестабилизирующих факторов (температура, частота) была проведена серия экспериментов на образцах грунта с контролируемой влажностью 0–25 % и термостабилизацией при частотах измерения емкости от 100 Гц до 100 кГц [15].
На рис. 3 представлены зависимости емкости от влажности для исследуемых частот при температурах 24 °С (рис. 3, а) и 18 °С (рис. 3, б). Анализ графиков показывает, что емкость закономерно возрастает с увеличением влажности на всех частотах, что подтверждает принципиальную применимость диэлькометрического метода. Однако характер кривых и их взаимное расположение существенно зависят от частоты и температуры.
На рис. 3 отчетливо видно, что на низких частотах (до 1 кГц) в диапазоне влажности от 7 до 20 % наблюдается существенное расхождение кривых, соответствующих разным температурам. Разница показаний может достигать 15–20 %, что недопустимо для точных измерений. Это указывает на сильную температурную зависимость диэлектрических свойств грунта на низких частотах, которая, вероятно, обусловлена процессами поляризации на границах раздела фаз и ионной проводимостью. На более высоких частотах (10 кГц, 100 кГц) температурная зависимость выражена значительно слабее. Кривые для 18 и 24 °С практически совпадают в диапазоне влажности от 0 до 15 %. Однако в области малых влажностей (5–10 %) на высоких частотах наблюдается экстремум (изгиб) зависимости, что снижает чувствительность и точность измерений в этом важном диапазоне.
Полученные экспериментальные данные позволяют сделать выводы, что, во-первых, использование одной фиксированной частоты, особенно в низкочастотном диапазоне, не позволяет получить достоверные результаты в полевых условиях из-за сильной температурной зависимости влажности грунта, а, во-вторых, высокочастотные измерения (10–100 кГц) менее чувствительны к температуре, но характеризуются нелинейностью в области низкой влажности (5–10 %), что также ограничивает их применение для универсального контроля.
Для решения выявленной проблемы был предложен и реализован в программе микроконтроллера алгоритм двухчастотной компенсации. Идея алгоритма основана на анализе рис. 3, где видно, что разница значений емкости между крайними частотами (100 Гц и 100 кГц) имеет практически линейную зависимость от влажности и слабо чувствительна к температуре.
Алгоритм работает следующим образом:
1. Последовательно измеряется емкость на низкой частоте (f1 = 100 Гц) и на высокой частоте (f2 = 100 кГц).
2. Вычисляется относительная разность
ΔC = (C100Гц – C100кГц) / C100кГц.
3. По предварительно рассчитанной и загруженной в память калибровочной характеристике
W = F(ΔC)
определяется влажность грунта.
4. Плотность скелета грунта вычисляется по формуле
ρск = ρ / (1 + W),
где ρ – плотность грунта, г/см3; W – влажность грунта (в долях единицы).
Испытания алгоритма на экспериментальных данных показали, что максимальное расхождение с результатами термостатно-весового метода не превышает 2,5 % во всем диапазоне температур и влажностей, что соответствует техническому заданию. Разработанная система контроля влажности грунта в полевых условиях обеспечивает:
– автоматическую компенсацию температурной погрешности без участия оператора;
– вычисление не только влажности, но и производного параметра – плотности скелета грунта;
– возможность работы в автономном режиме от аккумулятора;
– хранение калибровочных данных для различных типов грунтов.
Заключение
В результате исследования разработано автоматизированное устройство для контроля влажности грунта в полевых условиях. Применение диэлькометрического метода в сочетании с микроконтроллерной обработкой сигналов позволило:
1. Автоматизировать процесс измерения, исключив ручной труд и необходимость транспортировки проб в лабораторию.
2. Реализовать алгоритм двухчастотной компенсации температурной погрешности, что повысило точность измерений в реальных условиях эксплуатации.
3. Обеспечить автоматическое вычисление ключевого строительного параметра – плотности скелета грунта, что позволяет оперативно контролировать качество уплотнения земляного полотна.
Разработанное устройство может быть рекомендовано для использования дорожно-строительными организациями для экспресс-контроля качества грунтов, что позволит сократить время строительства и повысить надежность дорожных покрытий. Дальнейшие исследования будут направлены на расширение базы калибровочных данных для различных типов грунтов и оптимизацию энергопотребления прибора.
Конфликт интересов
Финансирование
Библиографическая ссылка
Садыков М. Ф., Голенищев-Кутузов А. В., Потапов А. А. АВТОМАТИЗАЦИЯ ПРОЦЕССА КОНТРОЛЯ ВЛАЖНОСТИ ГРУНТА В ПОЛЕВЫХ УСЛОВИЯХ НА ОСНОВЕ ДИЭЛЬКОМЕТРИЧЕСКОГО МЕТОДА // Современные наукоемкие технологии. 2026. № 3. С. 62-67;URL: https://top-technologies.ru/ru/article/view?id=40706 (дата обращения: 18.05.2026).
DOI: https://doi.org/10.17513/snt.40706



